I dATI

Coronavirus, calano i contagi ma anche i tamponi. A Varese 866 casi

Tutti i dati di oggi sulla situazione dell'emergenza coronavirus in Italia

Coronavirus, calano i contagi ma anche i tamponi. A Varese 866 casi

La situazione nelle province, in regione e in tutto il Paese sull’evoluzione del coronavirus. Sembrano esserci buoni segnali ma è presto per festeggiare.

Coronavirus, i dati provincia per provincia

  • Bergamo: 8664 (137)
  • Brescia: 8213 (+200)
  • Como: 1061 (+47)
  • Cremona: 2788 (+26)
  • Lecco: 1437 (+56)
  • Lodi: 2087 (+30)
  • Monza e Brianza: 2362 (+97)
  • Milano: 8676 (+347)
  • Mantova: 1617 (+67)
  • Pavia: 2036 (+62)
  • Sondrio: 446 (+24)
  • Varese: 866 (+54)

Cala in tutte le province il tasso di crescita dei nuovi casi ma ora è Milano a destare preoccupazione, con 347 nuovi positivi che la portano a superare il Bergamasco.

I dati in Regione

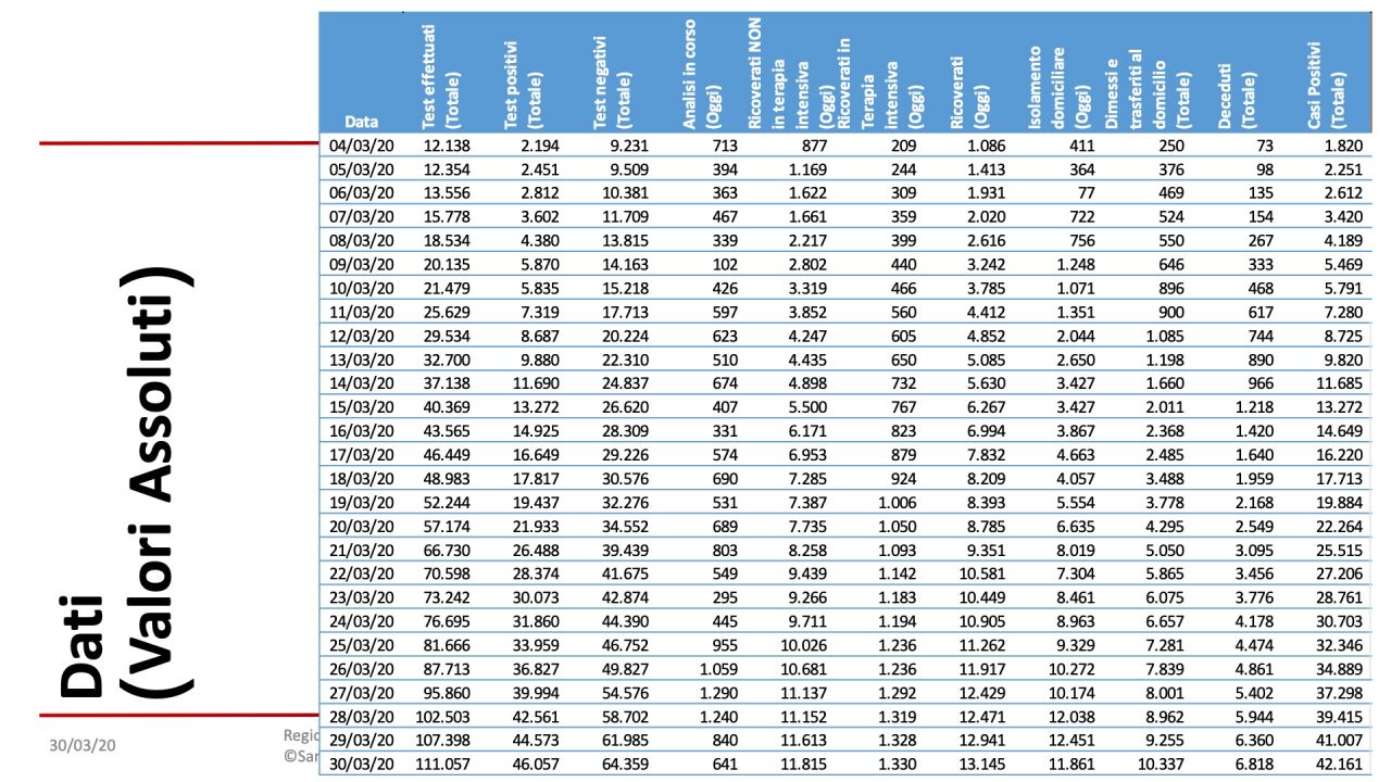
  • Casi positivi totali: 42.161 (+1154)
  • Attualmente positivi: 25.006 
  • Ricoverati non in Terapia Intensiva: 11.815 (+202)
  • Terapia Intensiva: 1.330 (2)
  • Dimessi/Guariti: 10.337 (+1.082)
  • Decessi: 6.818 (+458)
  • Totale tamponi: 111.057 (+3.659)

Dati positivi che sembrano confermare l’impressione di un trend in calo come spiegato anche dall’assessore Giulio Gallera. Ma che “scontano” anche un numero basso di tamponi eseguiti, 3659, contro gli oltre 5mila di ieri e i 7mila tra il 27 e il 28 marzo, come rimarca il consigliere regionale Samuele Astuti nella sua quotidiana analisi dei dati.

“Il numero dei tamponi pubblicato continua a variare giorno per giorno: oggi è talmente basso da essere imbarazzante – commenta – Questo impone sempre una grande prudenza nell’analisi degli andamenti perché potrebbero esserci oscillazioni dovute alle omissioni delle analisi e ai ritardi di trasmissione dei dati più che all’evoluzione sostanziale della situazione. Il rapporto tra decessi e casi positivi in Lombardia è ormai al di sopra del 16%, in provincia di Bergamo ha addirittura superato il 23% anche se sappiamo che il numero effettivo dei decessi in quella provincia è molto più alto di quanto non dicano questi numeri. (…) È assolutamente necessario pubblicare il numero di temponi effettuati ogni giorno per ogni provincia.

Per la prima volta, l’area metropolitana di Milano supera tutte le altre province in termini di numero assoluto dei casi positivi. Se si considera la percentuale sul numero degli abitanti, Cremona e Lodi rimangono ancora al di sopra di tutte le altre aree.
Si ribadisce la difficoltà di analizzare dati di cui non è garantita l’uniformità e l’omogeneità.
I luoghi di contagio adesso sono: l’ambito familiare, le RSA e gli ospedali. È evidente che, per contenere il contagio in questi contesti, si deve attuare una politica di screening tramite tampone”.

LEGGI ANCHE: Covid-19, lo studio: “Fine pandemia in Lombardia possibile per il 22 aprile”

I dati in Italia

  • Casi positivi totali: 101.739
  • Attualmente positivi: 75.528
  • Guariti: 14.620
  • Decessi: 11.591 

Regione per Regione

  • Lombardia: 42.161 (attuali: 25.006)
  • Emilia Romagna: 13.531 (attuali: 10.766)
  • Veneto: 8.724 (attuali: 7.564)
  • Piemonte: 8.712 (attuali: 7.655)
  • Toscana: 4.412 (attuali: 4.050)
  • Marche: 3.684 (attuali: 3.251)
  • Liguria: 3.217 (attuali: 2.383)
  • Lazio: 2.914 (attuali: 2.497)
  • Campania: 1.952 (attuali: 1.739)
  • Puglia: 1.712 (attuali: 1.585)
  • P.A. Trento: 1.682 (attuali: 1.357)
  • Sicilia: 1.555 (attuali: 1.408)
  • Friuli Venezia Giulia : 1.501 (attuali: 1.109)
  • Abruzzo: 1.345 (attuali: 1.169)
  • P.A. Bolzano: 1.325 (attuali: 1.098)
  • Umbria: 1.051 (attuali: 834)
  • Sardegna: 682 (attuali: 622)
  • Calabria: 647 (attuali: 602)
  • Valle d’Aosta: 584 (attuali: 518)
  • Basilicata: 214 (attuali: 208)
  • Molise: 134 (attuali: 107)

Il contagio sembra frenare in tutto il Paese, con “soli” 1648 nuovi casi positivi. Restano alti i decessi,812, ma come spiegato nei giorni scorsi dagli scienziati lombardi quello più negativo sarà anche l’ultimo dato a diminuire. E’ record intanto di dimessi, con un positivo di 1590.

TORNA ALLA HOME